Maestro: Multi-Body Dynamics and Kinematic Modeling

Based on previous works by Agarwal and Esmatloo, this project involved developing comprehensive kinematic and dynamic models for hand exoskeleton systems using four-bar linkage mechanisms. The modeling work enabled accurate prediction of system behavior and informed mechanical design decisions for wearable robotic devices.

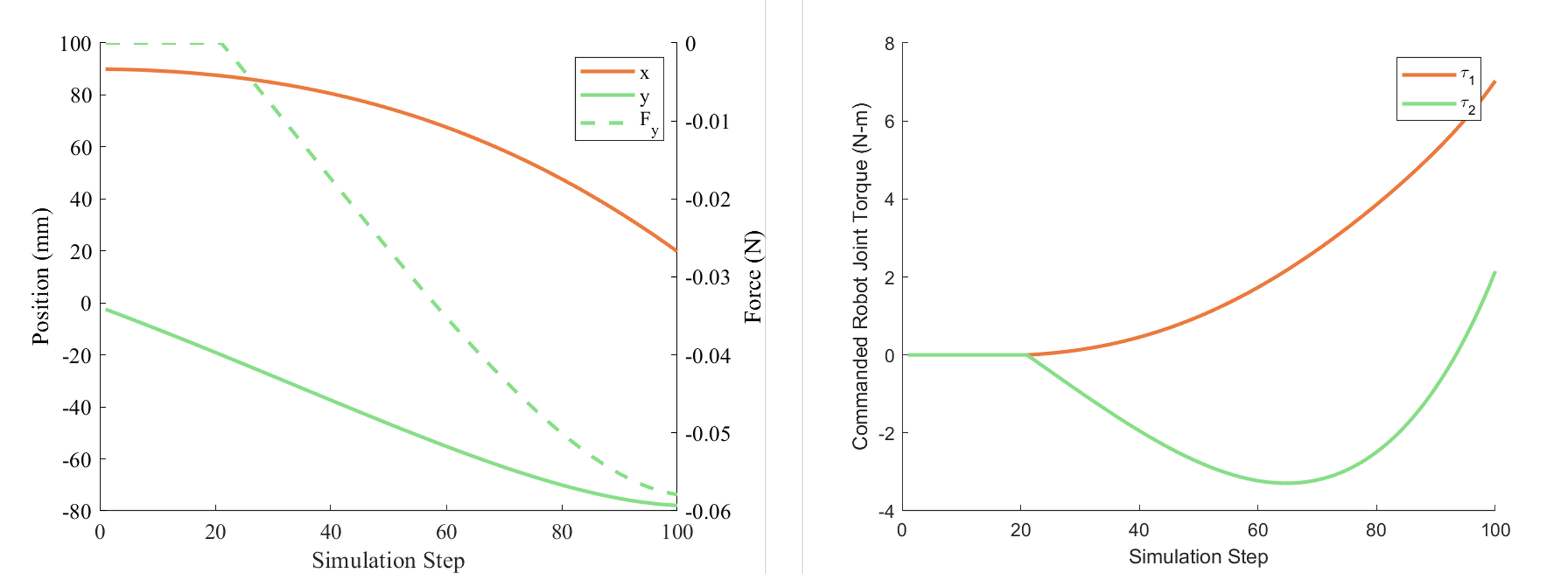
The Maestro hand exoskeleton operates at three coordinate domains: robot joint space, finger joint space, and fingertip Cartesian space. Based on previous work and four-bar linkage principles, I calculated the human-robot system’s forward kinematics and inverse kinetics. The forward kinematics use robot joint angle measurements to estimate fingertip position, which can then be used to implement virtual environments at the fingertip. The inverse kinetics are used to map desired fingertip interaction forces back to desired robot joint torques, which are then commanded to the Maestro hand exoskeleton. This project highlighted importance considerations and shortfalls of the modeling process, such as sensitivity to parameter errors and sensor calibration.

Contributions:

  • Developed comprehensive kinematic models using four-bar linkage mechanics and Denavit-Hartenberg parameters for multi-DOF finger exoskeleton systems

  • Implemented forward kinematics and analytical Jacobian calculations in MATLAB, enabling real-time joint space to Cartesian space transformations

  • Created Simscape Multibody simulation models incorporating viscoelastic tissue properties and compliant interface mechanics for pHRI prediction

  • Validated kinematic accuracy through experimental comparison with motion capture, achieving joint angle prediction within specified tolerance