Automated Biomechanics Testbed for Soft Tissue Characterization

This project created an actuated indenter device for characterizing human soft tissue properties around the forearm. The system enables precise measurement of viscoelastic tissue properties at multiple anatomical locations to inform human-centered design of wearable interfaces.

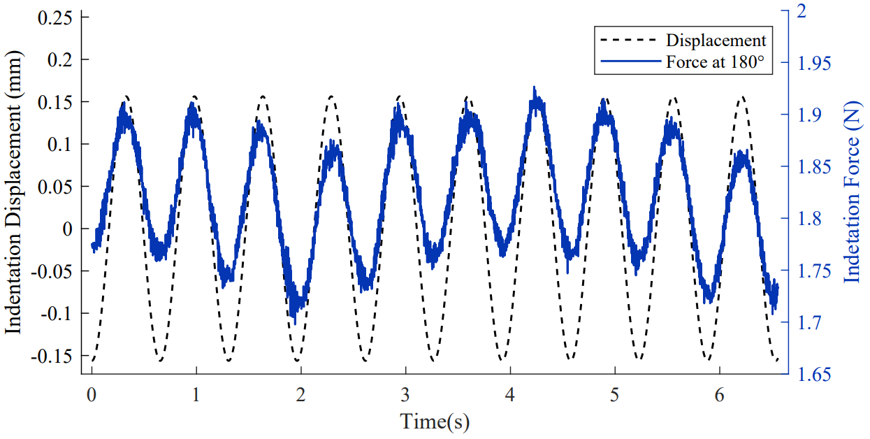
Controlled indentation displacement with force feedback is used in three types of applications on a human subject’s forearm. The soft tissue stiffness profile, viscoelastic relaxation behavior, and frequency domain response are measured. The ability to perform multiple characterizations with one indenter device broadens the scope of a human-centered approach to design, modeling, and perception as they relate to physical human-robot interfaces.

Contributions:

  • Engineered precision indentation system with stepper motor control (0.025mm resolution) and single-axis load cell (111mN resolution) for automated tissue characterization

  • Implemented 36-position angular positioning mechanism with 10-degree increments around human limbs using custom rotating ring structure and linear actuators

  • Developed multiple testing protocols in MATLAB including stiffness profiling, viscoelastic relaxation, and frequency response analysis for comprehensive tissue characterization

  • Validated measurement accuracy against ground-truth instrumentation, enabling repeatable characterization of human biomechanical properties across anatomical locations

Collaborators: Keya Ghonasgi, Paria Esmatloo, Ashish D. Deshpande

Related Publications: